• Предмет: Математика
  • Автор: liujiniki
  • Вопрос задан 8 лет назад

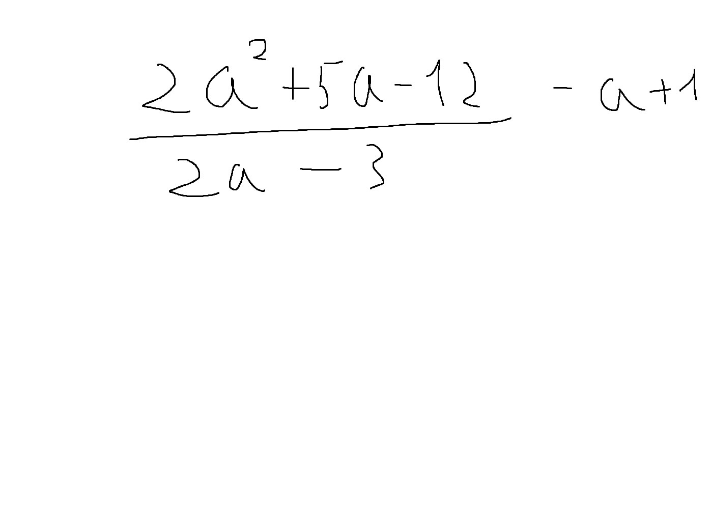
Помогите упростить пример (с пояснением). Прошуууу

Приложения:

Ответы

Ответ дал: Лука12
0
2a^2+5a-12/2a-3-a/1+1/1=2a^2+5a-12-a*(2a-3)+2a-3/2a-3=2a^2+5a-12-2a^2+3+2a-3/2a-3=5a-12+2a/2a-3=7a-12/2a-3
Вас заинтересует