• Предмет: Алгебра
  • Автор: svetllana2005
  • Вопрос задан 8 лет назад

Решите уравнение:
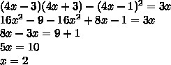
а) (4х-3)(4х+3)-(4х-1)²=3х
б)16с²-49=0

Ответы

Ответ дал: Valeria556
0
Вот решение,желаю успехов))
Приложения:
Ответ дал: svetllana2005
0
Спасибо..
Ответ дал: svetllana2005
0
Мне немного понятно второе,как там такой ответ получился?
Ответ дал: Valeria556
0
16с²-49=0

16с²=49

с²=49/16

с=±1.75
Вас заинтересует