• Предмет: Математика
  • Автор: shefer84
  • Вопрос задан 8 лет назад

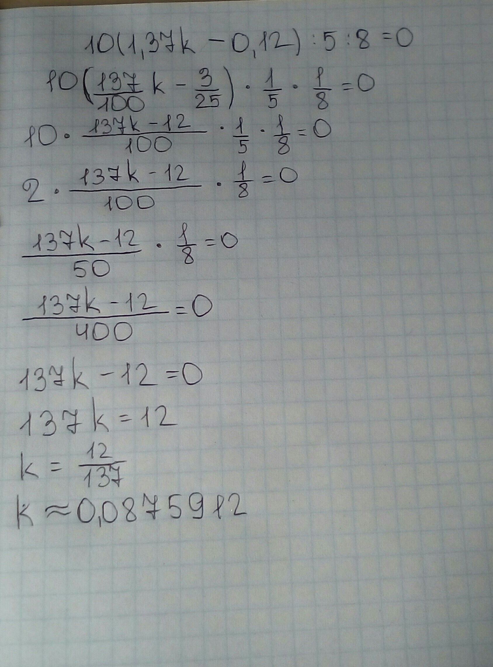
решить уравнение 10×(1,37k-0,12)÷5÷8=0

Ответы

Ответ дал: Anастaсия
0
...............................
Приложения:
Вас заинтересует