Ответы
Ответ дал:
0
1
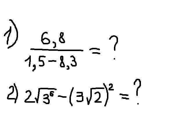
6,8/(1,5-8,3)=6,8/(-6,8)=-1
2
2√3^6-(3√2)²=2*3³-9*2=54-18=36
6,8/(1,5-8,3)=6,8/(-6,8)=-1
2
2√3^6-(3√2)²=2*3³-9*2=54-18=36
Ответ дал:
0
благодарю♥
Вас заинтересует
2 года назад
2 года назад
3 года назад
3 года назад
9 лет назад
9 лет назад
10 лет назад
10 лет назад