• Предмет: Алгебра
  • Автор: sergeishpikin
  • Вопрос задан 8 лет назад

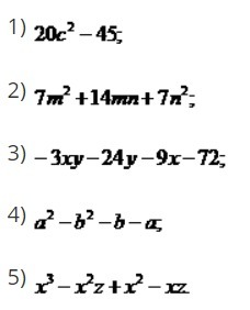
разложить данные многочлены на множители Пж (срочно надо ,нетолько ответы)

Приложения:

Ответа на этот вопрос пока нет. Попробуйте найти его через форму поиска.

Вас заинтересует