• Предмет: Алгебра
  • Автор: КоТеНоК0ф0КеДаХ
  • Вопрос задан 8 лет назад

Решите неравенство под 2

Приложения:

Ответы

Ответ дал: mildimyap8q0re
0
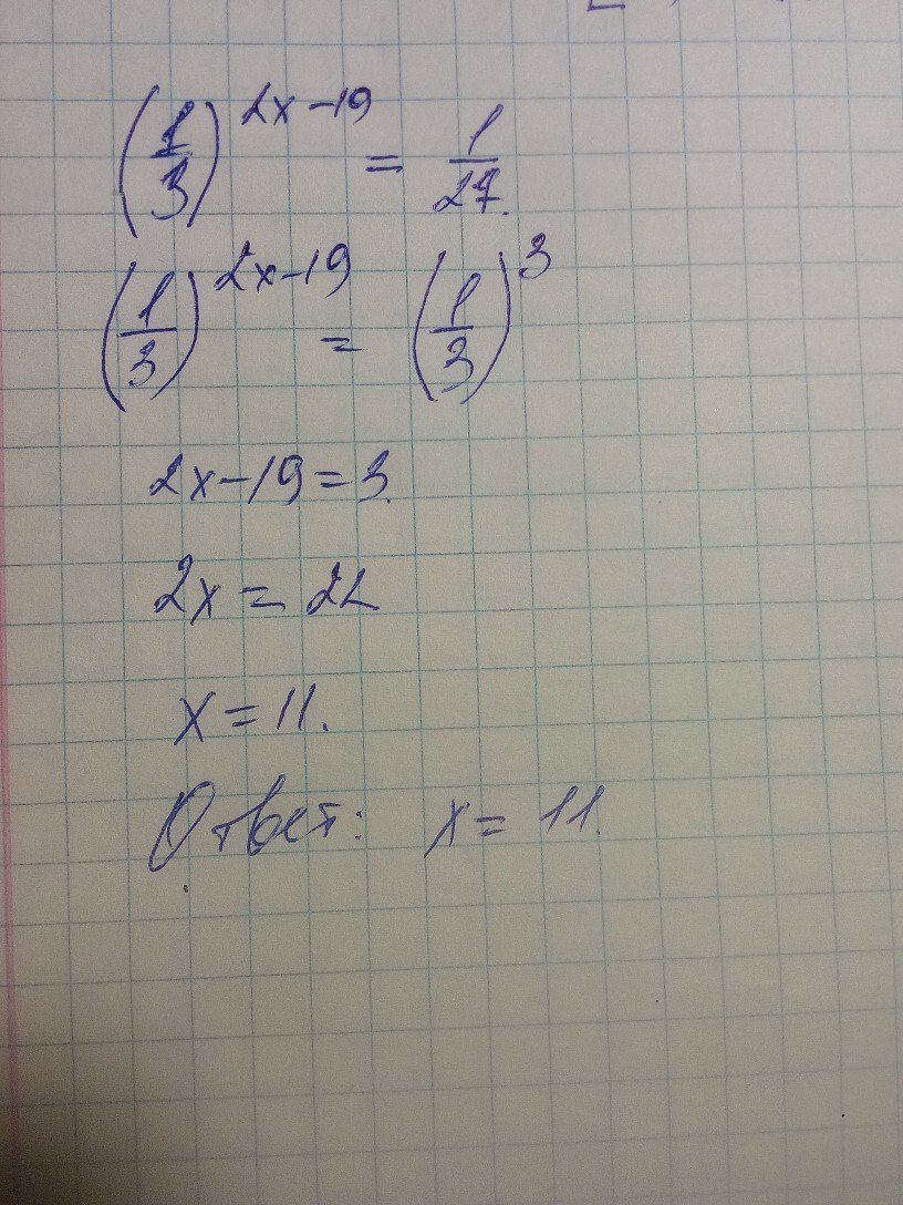
Решение во вложении. 
Приложения:
Вас заинтересует