• Предмет: Алгебра
  • Автор: technodance
  • Вопрос задан 8 лет назад

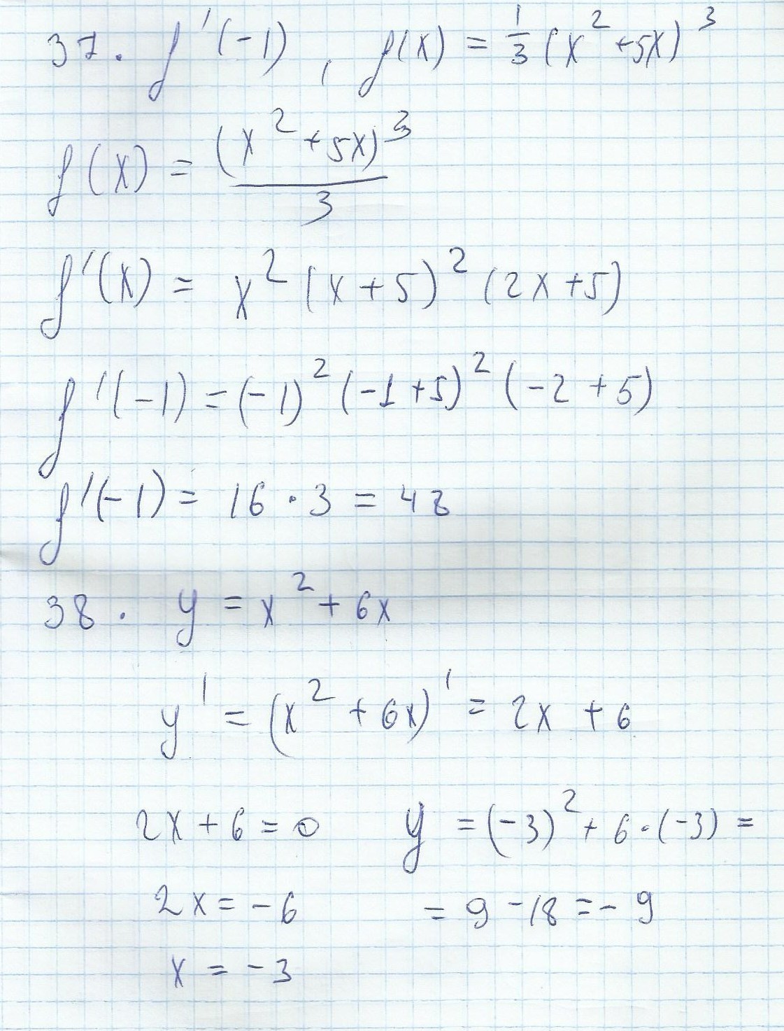
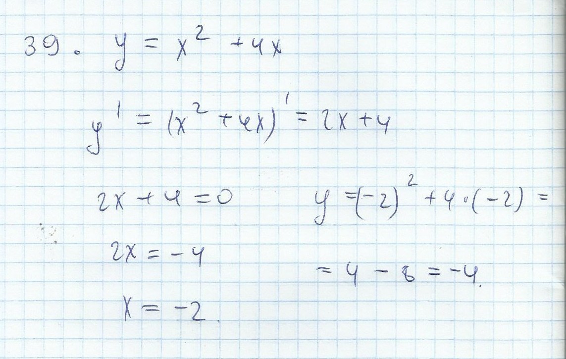
Объясни задания 37;38;39.

Приложения:

Ответы

Ответ дал: Аноним
0
Решение во вложении. Успехов в алгебре!
Приложения:
Ответ дал: technodance
0
А можно пару вопросов задать?
Вас заинтересует