• Предмет: Алгебра
  • Автор: vovzdrik
  • Вопрос задан 8 лет назад

помогите пожалуйста,завтра уже сдавать контрольную. 7 задание

Приложения:

Ответы

Ответ дал: Аноним
0
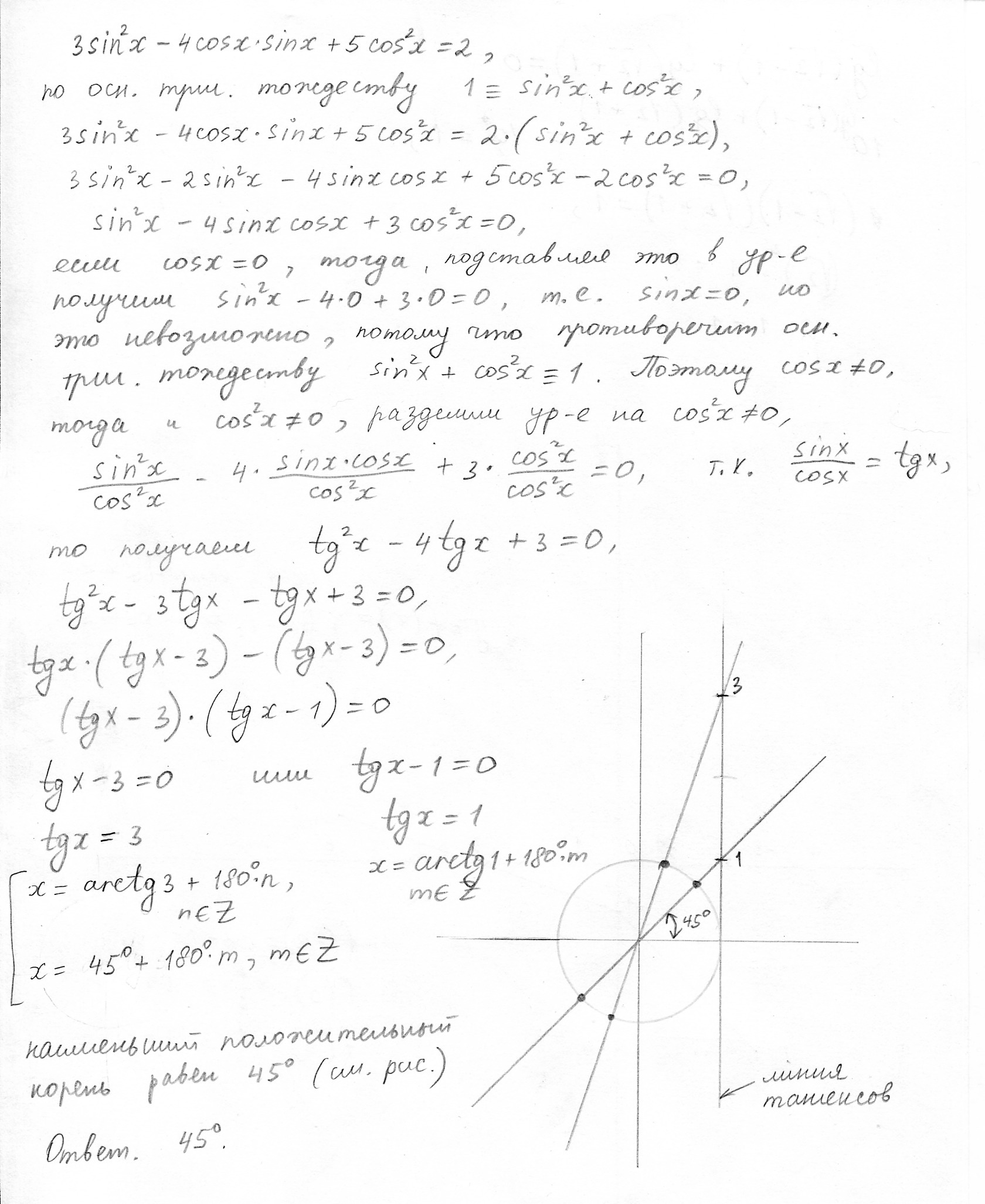
я написал решение на листочке ===>>
Приложения:
Ответ дал: vovzdrik
0
спасибо большое!!!
Вас заинтересует