• Предмет: Алгебра
  • Автор: isakovakanush
  • Вопрос задан 8 лет назад

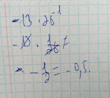
вычислите -13•26 в степени -1

Ответы

Ответ дал: TeoremaSin
0
-13*26^-1=-13*1/26=-1/2=-0,5
Ответ дал: Аноним
0
Решение во вложении...
Приложения:
Вас заинтересует