• Предмет: Алгебра
  • Автор: nikisupergeroy
  • Вопрос задан 8 лет назад

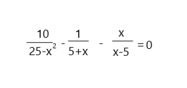
Решить уравнение. Желательно подробней.

Приложения:

Ответа на этот вопрос пока нет. Попробуйте найти его через форму поиска.

Вас заинтересует