Ответы
Ответ дал:
0
Ответ дал:
0
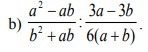
Вот твой ответ удачи тебе и сор просто просят 20 символов так что просто пишим чё слишком наверное тяжело прикол в том что сначало решил на диске оказалось правильно (нет), но это точно правильно
Приложения:


Вас заинтересует
2 года назад
2 года назад
3 года назад
3 года назад
9 лет назад
9 лет назад
9 лет назад