• Предмет: Алгебра
  • Автор: daddsadad
  • Вопрос задан 8 лет назад

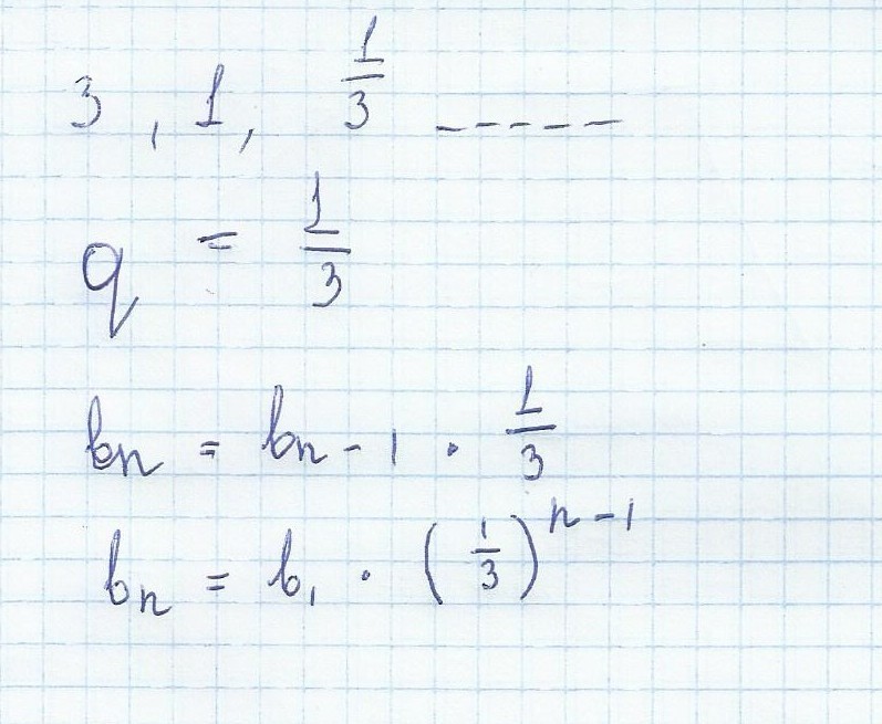
Записать формулу n-ого члена геометрической прогрессии:

3, 1 , frac{1}{3} , ...

Ответы

Ответ дал: Аноним
0
Решение во вложении. Успехов в алгебре!
Приложения:
Вас заинтересует