• Предмет: Геометрия
  • Автор: anna20060318p5ufl8
  • Вопрос задан 8 лет назад

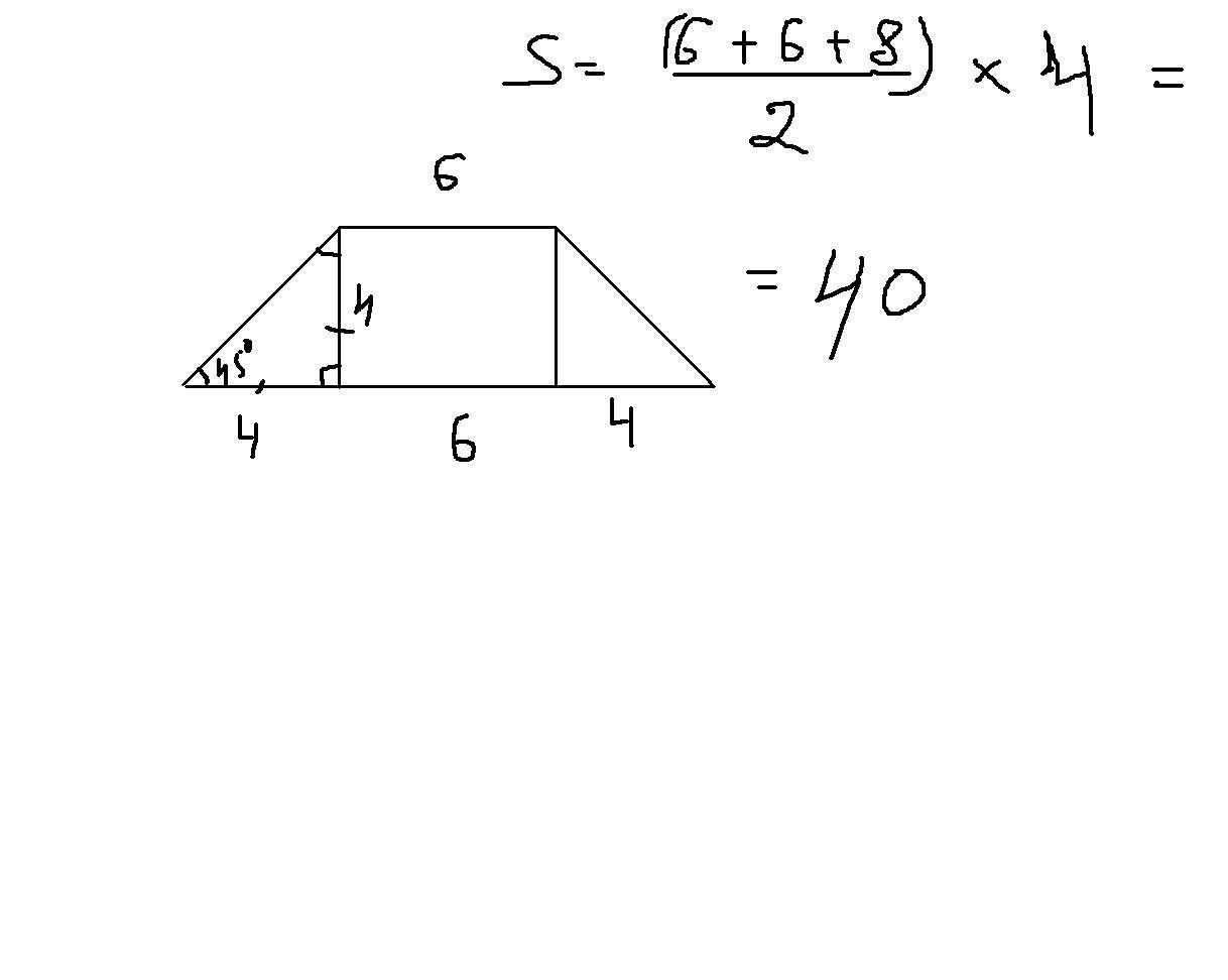
найти площадь равнобедренной трапеции у которой меньшее основание равно 6 , высота 4 , острый угол 45 градусов

Ответы

Ответ дал: ГеляКит
0
.............................................
Приложения:
Ответ дал: anna20060318p5ufl8
0
спасибо огромное! ты спасла мою сестру ХД
Ответ дал: ГеляКит
0
пожалуйста))
Ответ дал: rahlenko007
0
тут ответ сорок
внизу объяснение


Приложения:
Вас заинтересует