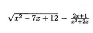
При каких значениях x имеет смысл выражение:
з.ы. объясните как решать эту чертовщину и я подарю вам фирменное волшебное ничего, ну или сколько-то там баллов хех
Приложения:

Ответа на этот вопрос пока нет. Попробуйте найти его через форму поиска.
Вас заинтересует
2 года назад
3 года назад
3 года назад
9 лет назад
9 лет назад
9 лет назад