• Предмет: Алгебра
  • Автор: JenLedger
  • Вопрос задан 11 лет назад

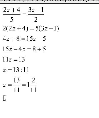
2z + 4 все это деленное на 5 потом = 3z-1 это деленное на 2

Ответы

Ответ дал: triolana
0
===================================================
Приложения:
Вас заинтересует