Умоляю, помогите! Объясните как делать! Только пошагово, очень нужно. Задание: Построить график функции
Приложения:
Ответы
Ответ дал:
0
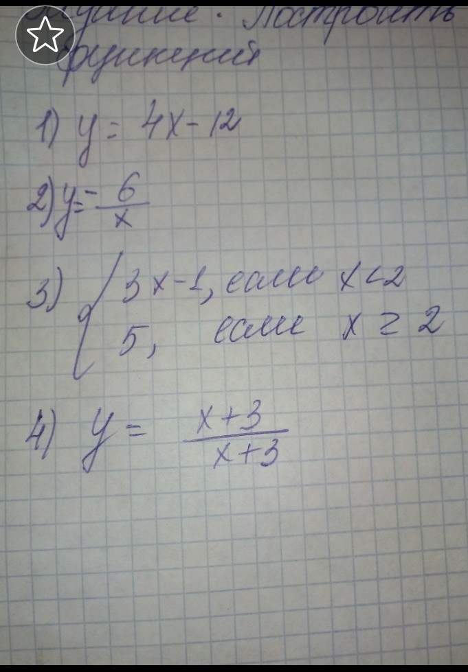
у=3х - 1 это прямая; можно взять только две точки
пусть х1=0 и х2=1
тогда у1=-1; у2=2
отметьте эти точки, и всё, что идёт правее х=2 сотрите
а у=5 - это просто прямая, идущая параллельно оси х, в точке у=5, только всё что левее х=2 сотрите
пусть х1=0 и х2=1
тогда у1=-1; у2=2
отметьте эти точки, и всё, что идёт правее х=2 сотрите
а у=5 - это просто прямая, идущая параллельно оси х, в точке у=5, только всё что левее х=2 сотрите
Ответ дал:
0
спасибо большое))
Ответ дал:
0
не за что
Вас заинтересует
2 года назад
2 года назад
3 года назад
3 года назад
9 лет назад
9 лет назад
10 лет назад