• Предмет: Алгебра
  • Автор: Xmoder
  • Вопрос задан 8 лет назад

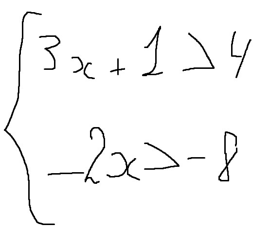
Решите систему неравенств

Приложения:

Ответы

Ответ дал: z4mor
0
Соре, ручка плохо писала.
Приложения:
Вас заинтересует