В 3 пробирках находятся этанол,уксусная кислота,муравьиная кислота. При помощи каких хим.реакций можно различить эти вещества,укажите признаки реакций. Напишите уравнения соответствующих реакций
Ответы
Ответ дал:
0
Качественная реакция на этанол
Чувствительной реакцией на этиловый спирт является так называемая йодоформная проба: образование характерного желтоватого осадка йодоформа при действии на спирт йода и щелочи. Этой реакцией можно установить наличие спирта в воде даже при концентрации 0,05%. Отберем пробу раствора и добавим раствор Люголя. Раствор Люголя содержит иод (1 часть иода, 2 части иодида калия, 17 частей стерильной дистиллированной воды). При охлаждении раствора появляется желтая взвесь йодоформа, при высоких концентрациях спирта выпадает желтый осадок йодоформа.
С2Н5ОН + 6 NaОН + 4 I2 = CHI3 +HCOONa + 5 NaI + H2O
'3СН3СООН + FeCl3 ——→ [ (Fe(COOCH3)3 ] + 3HCl
ацетат железа (III) комплекс с интенсивным
красным окрашиванием
t
----> Fe(CH3COOH)3+ 3H2O Fe(OH)3 ↓ + 3CH3COOH
осадок красно-бурого цвета
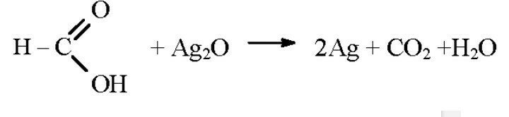
В молекуле муравьиной кислоты карбоксильная группа связана с атомом водорода, и получается, что в молекуле есть альдегидная группа -СН=О. Поэтому муравьиная кислота, как и альдегиды, проявляет свойства восстановителя, и дает реакцию серебряного зеркала.
В молекулах остальных карбоновых кислот карбоксильная группа связана не с атомом водорода, а с углеводородным радикалом, поэтому другие карбоновые кислоты не могут проявлять свойств восстановителя.
Чувствительной реакцией на этиловый спирт является так называемая йодоформная проба: образование характерного желтоватого осадка йодоформа при действии на спирт йода и щелочи. Этой реакцией можно установить наличие спирта в воде даже при концентрации 0,05%. Отберем пробу раствора и добавим раствор Люголя. Раствор Люголя содержит иод (1 часть иода, 2 части иодида калия, 17 частей стерильной дистиллированной воды). При охлаждении раствора появляется желтая взвесь йодоформа, при высоких концентрациях спирта выпадает желтый осадок йодоформа.
С2Н5ОН + 6 NaОН + 4 I2 = CHI3 +HCOONa + 5 NaI + H2O
'3СН3СООН + FeCl3 ——→ [ (Fe(COOCH3)3 ] + 3HCl
ацетат железа (III) комплекс с интенсивным
красным окрашиванием
t
----> Fe(CH3COOH)3+ 3H2O Fe(OH)3 ↓ + 3CH3COOH
осадок красно-бурого цвета
В молекуле муравьиной кислоты карбоксильная группа связана с атомом водорода, и получается, что в молекуле есть альдегидная группа -СН=О. Поэтому муравьиная кислота, как и альдегиды, проявляет свойства восстановителя, и дает реакцию серебряного зеркала.
В молекулах остальных карбоновых кислот карбоксильная группа связана не с атомом водорода, а с углеводородным радикалом, поэтому другие карбоновые кислоты не могут проявлять свойств восстановителя.
Приложения:

Вас заинтересует
2 года назад
2 года назад
3 года назад
3 года назад
9 лет назад
9 лет назад
9 лет назад