• Предмет: Математика
  • Автор: Аффальтербач
  • Вопрос задан 8 лет назад

Решить дифференциальные уравнения:

y" - 6y' + 9y = 0

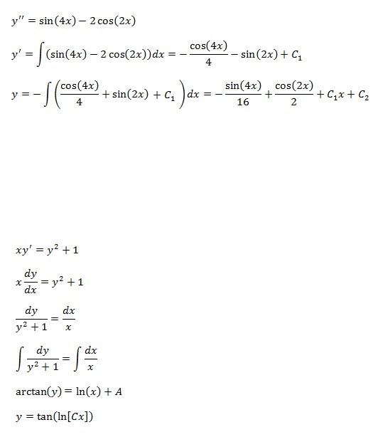
y" = sin4x -2cos2x

x × y' = y^2 + 1

Ответы

Ответ дал: amax777
0
Решения вложены на картинках, удачи )

Приложения:
Вас заинтересует