Ответы
Ответ дал:
0
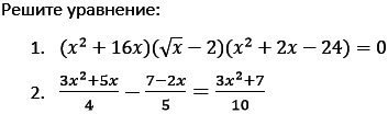
1)
x^2+16x=0
либо
2)√x -2=0
3)x^2+2x-24=0
1)x(x+16)=0
x=0 x=16
2)x=4
3)x= -6 x=4 Ответ 0 16 -6 4
(3x^2+5x)/4 -(7-2x)/5=(3x^2+7)/10
15x^2+25x-28+8x=6x^2+14
9x^2+33x-42=0
x1=1
x2=-42/9=-14/3
x^2+16x=0
либо
2)√x -2=0
3)x^2+2x-24=0
1)x(x+16)=0
x=0 x=16
2)x=4
3)x= -6 x=4 Ответ 0 16 -6 4
(3x^2+5x)/4 -(7-2x)/5=(3x^2+7)/10
15x^2+25x-28+8x=6x^2+14
9x^2+33x-42=0
x1=1
x2=-42/9=-14/3
Вас заинтересует
2 года назад
2 года назад
3 года назад
3 года назад
9 лет назад
9 лет назад