• Предмет: Геометрия
  • Автор: 3aY4Ka22
  • Вопрос задан 8 лет назад

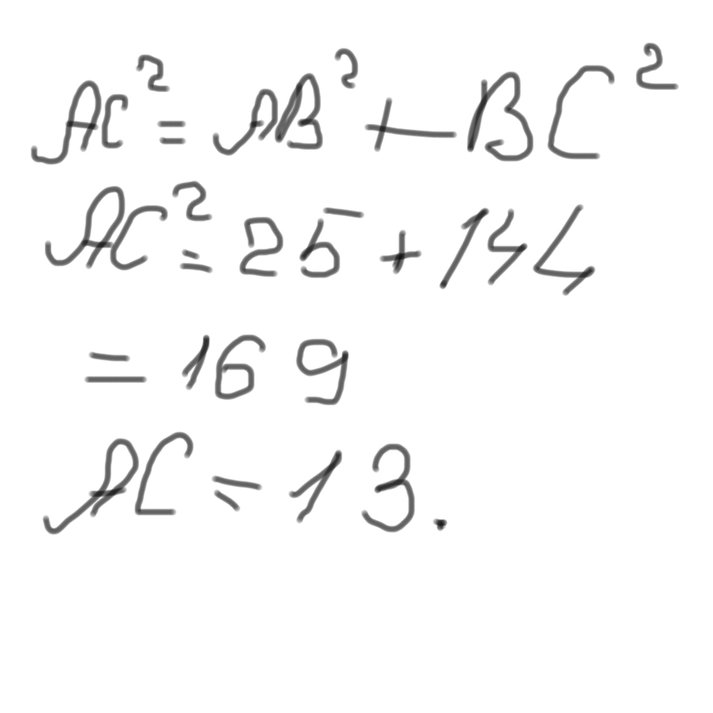
в прямоугольном треугольнике катеты 12 см и 5 см найти гипотенузу и синусуы острых углов

Ответы

Ответ дал: Larenzo
0
это гипотенуза. а остальное не знаю

Приложения:
Вас заинтересует