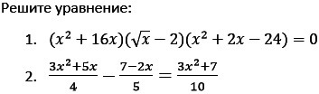
Ответы
Ответ дал:
0
Вроде так.
Удачи.....
Удачи.....
Приложения:

Вас заинтересует
2 года назад
2 года назад
3 года назад
3 года назад
9 лет назад
9 лет назад
9 лет назад