Ответы
Ответ дал:
0
Вот думаю правильно, тут все ясно, хорошо видно надеюсь
Приложения:

Ответ дал:
0
Спасибо огромное!!!
Ответ дал:
0
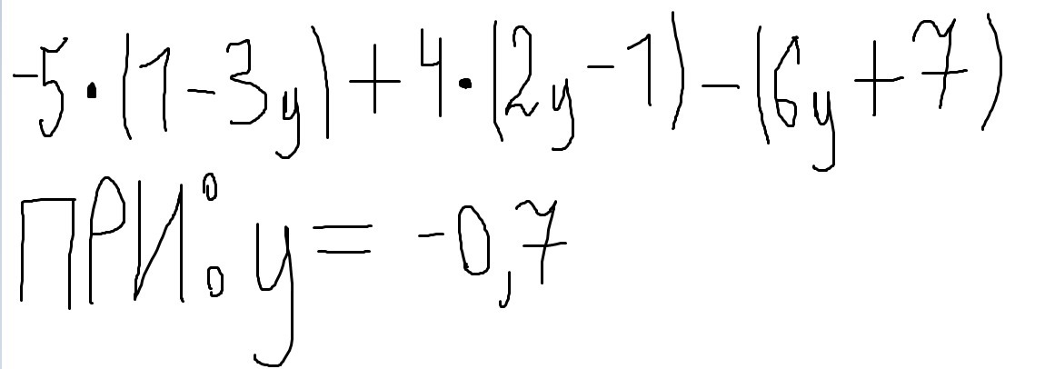
-5×(1-3y)+4×(2y-1)-(6y+7) = -5+15y+8y-4-6y-7 = -5-4-7+15y+8y-6y = -16+17y.
Если у = -0,7 ; тогда :
-16+17×(-0,7) = -16+(-11,9) = -16-11,9 = -27,9
Если у = -0,7 ; тогда :
-16+17×(-0,7) = -16+(-11,9) = -16-11,9 = -27,9
Приложения:

Ответ дал:
0
Даже если ты не первый, всё равно спасибо :3
Вас заинтересует
2 года назад
2 года назад
3 года назад
3 года назад
9 лет назад
9 лет назад
9 лет назад
9 лет назад