Ответы
Ответ дал:
0
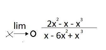
вынесем х за скобку в числителе и знаменателе и сократим
x(2x-1-x²) 2x-1-x² -1
lim -------------- = lim ----------- = ---- = -1
x->0 x(1-6x+x²) x->0 1-6x-x² 1
x(2x-1-x²) 2x-1-x² -1
lim -------------- = lim ----------- = ---- = -1
x->0 x(1-6x+x²) x->0 1-6x-x² 1
Вас заинтересует
2 года назад
2 года назад
3 года назад
9 лет назад
9 лет назад
10 лет назад