Ответы
Ответ дал:
0
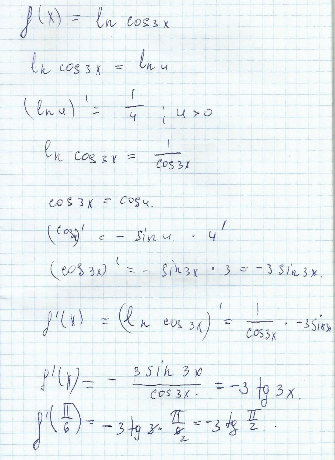
Решение во вложении. Успехов в алгебре!
Приложения:
Ответ дал:
0
найти
, если 


Приложения:
Вас заинтересует
2 года назад
3 года назад
9 лет назад
10 лет назад