• Предмет: Математика
  • Автор: lcyTr
  • Вопрос задан 8 лет назад

Срочно памогите с решением пожалуйста решите задачу!!!
.

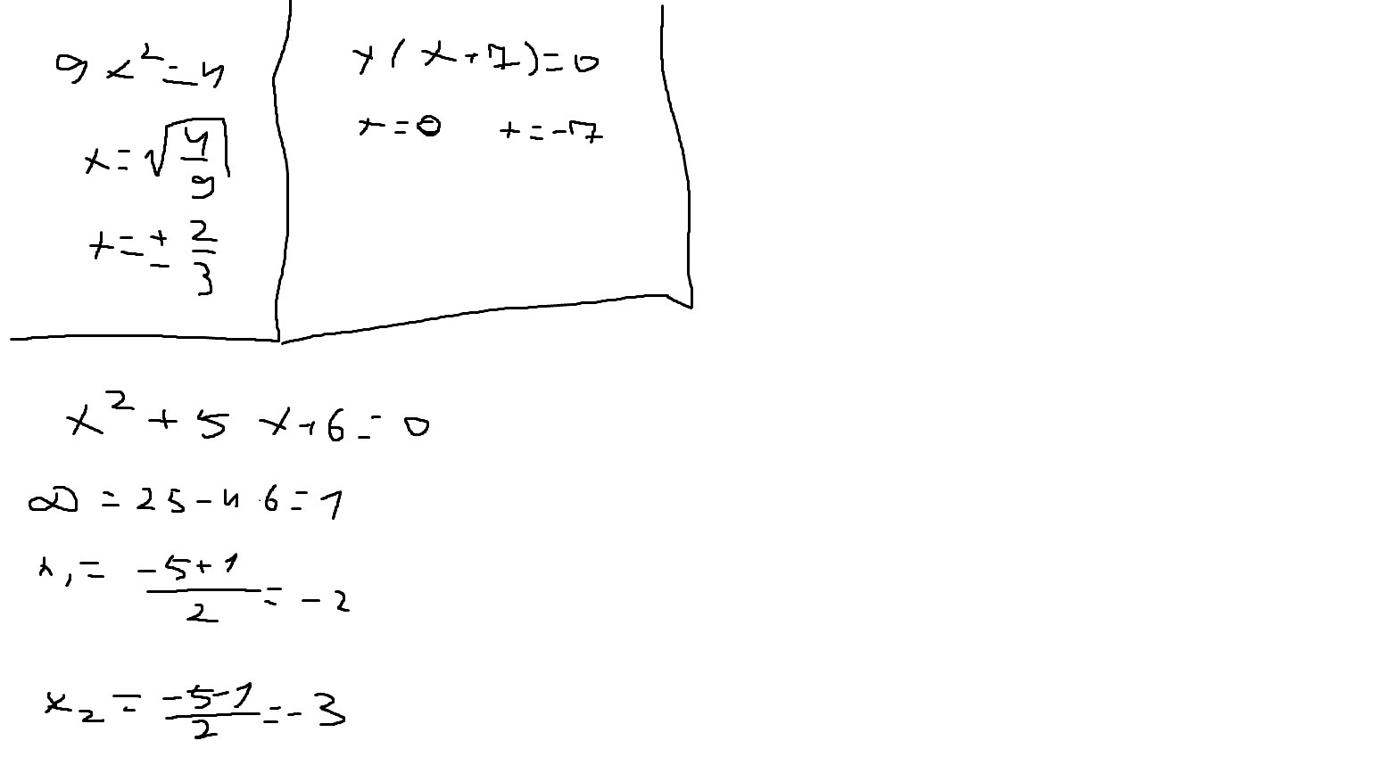
Приложения:

Ответы

Ответ дал: glob4ik
0
вроде так)))))))))))))))))))
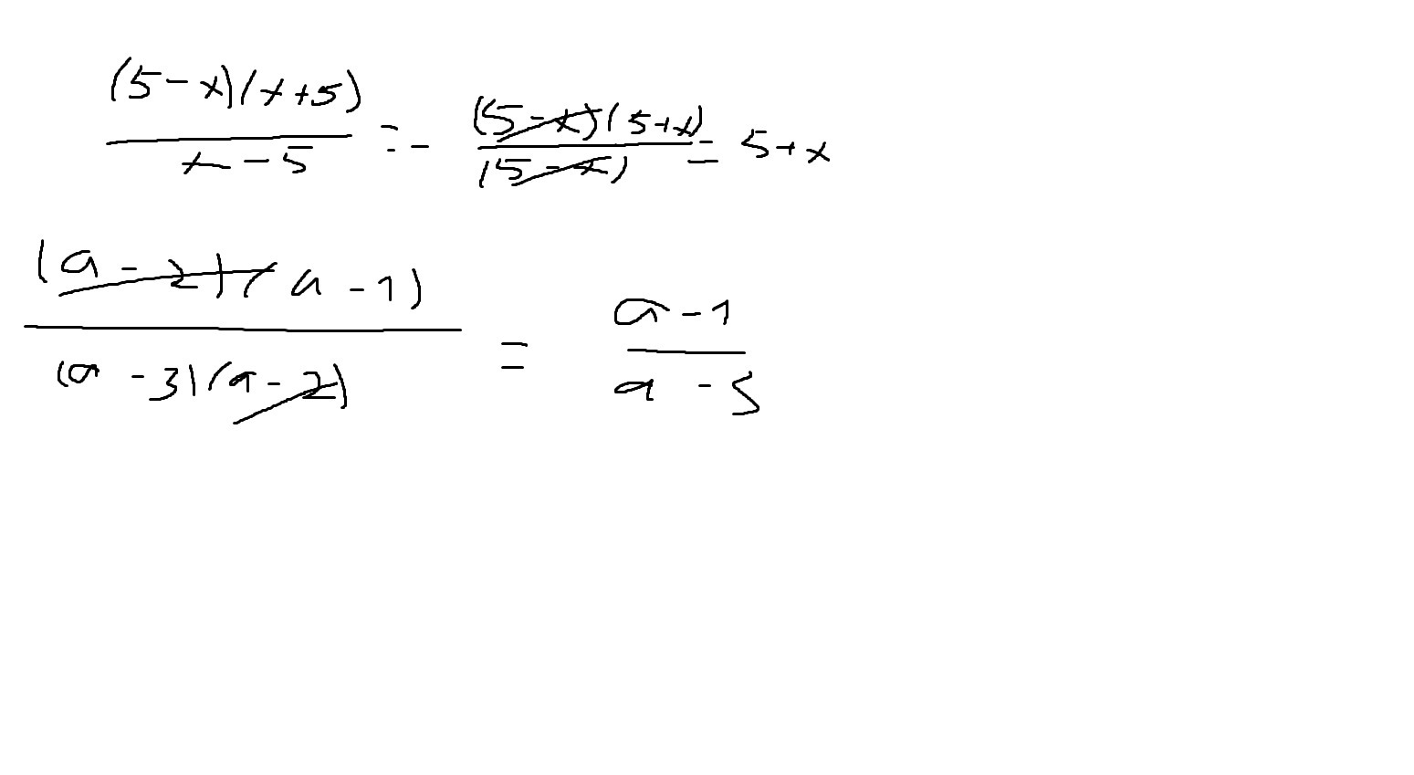
Приложения:
Ответ дал: lcyTr
0
Это условие надо решение
Ответ дал: lcyTr
0
Эй
Ответ дал: lcyTr
0
Ау
Ответ дал: lcyTr
0
Спс
Ответ дал: lcyTr
0
Гллобчик
Вас заинтересует