Ответы
Ответ дал:
0
все очень просто)Вот,если что непонятно,то пиши.
Приложения:

Ответ дал:
0
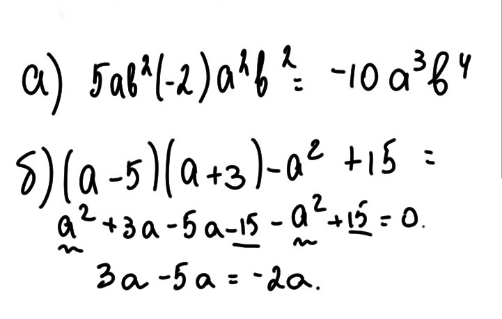
а) 10а^3b^4
б)где фото это Б
Удачи тебе в домашнем заданий или гдето там
б)где фото это Б
Удачи тебе в домашнем заданий или гдето там
Приложения:

Вас заинтересует
2 года назад
2 года назад
3 года назад
3 года назад
9 лет назад
9 лет назад