Ответы
Ответ дал:
0
лови,думаю,что все тут понятно)
Приложения:
Ответ дал:
0
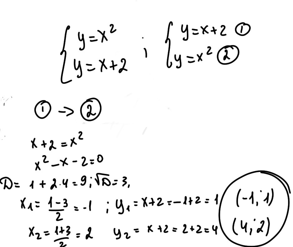
y = x²
y = x+2
x²=x+2
x²-x-2=0
Д= 1+ 8 = 9
√Д = √9 = 3
x1= 1-3 / 2 = -2/2 = -1
x2= 1+3/ 2= 4/2=2
1) x=-1 2) x=2
y=1 y=4
Ответ: (-1 ;1) , (2 ; 4)
y = x+2
x²=x+2
x²-x-2=0
Д= 1+ 8 = 9
√Д = √9 = 3
x1= 1-3 / 2 = -2/2 = -1
x2= 1+3/ 2= 4/2=2
1) x=-1 2) x=2
y=1 y=4
Ответ: (-1 ;1) , (2 ; 4)
Приложения:
Вас заинтересует
2 года назад
2 года назад
3 года назад
3 года назад
9 лет назад