• Предмет: Физика
  • Автор: АЛИСААЛИСКИНА
  • Вопрос задан 8 лет назад

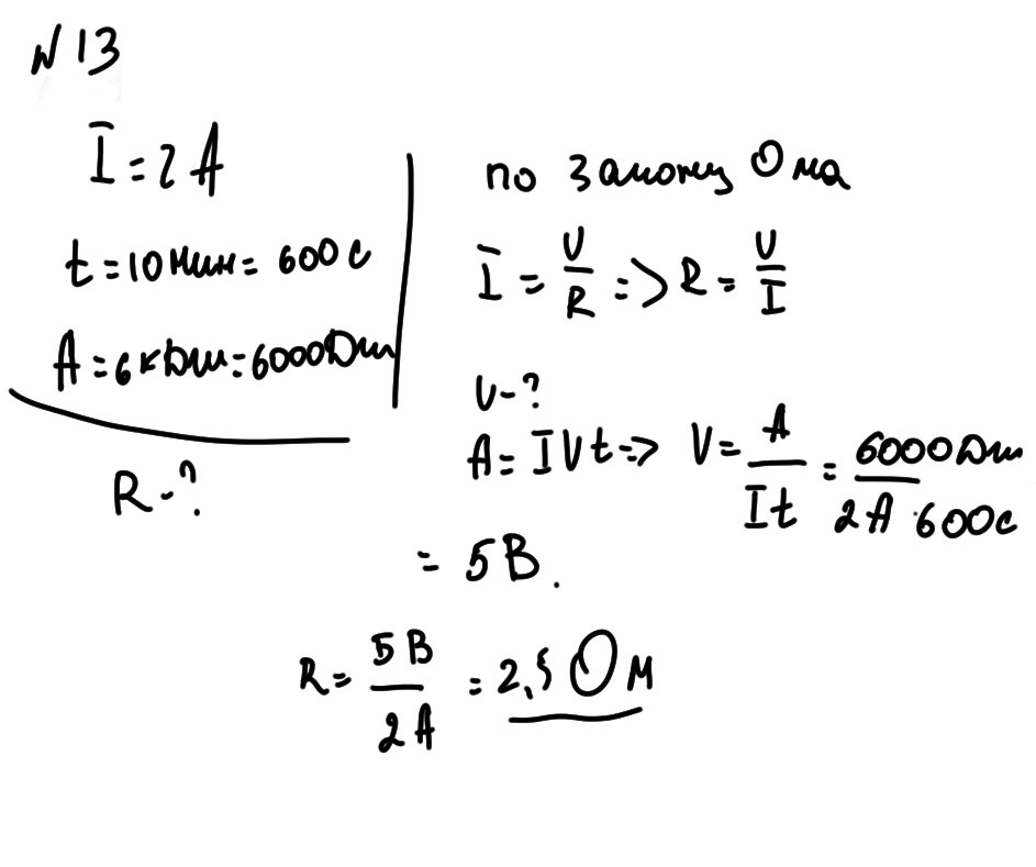
Пожалуйста прошу решите задачу по физике 8 класс(желательно если можно 2) Только внимательно прочитайте задания, везде дают разные ответы. а мне нужен точный, буду очень благодарна, от этих заданий зависит многое. За правильный ответ дам 10 балло

Приложения:

Ответы

Ответ дал: caxap1111111111
0
........................................на)
Приложения:
Вас заинтересует