• Предмет: Алгебра
  • Автор: наговицин4587
  • Вопрос задан 8 лет назад

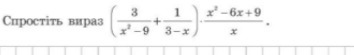
Помогите!!!!!!!!!!!!!!!!!!!!!!!!!!!!!!!!!!!!!!!!

Приложения:

Ответы

Ответ дал: NNNLLL54
0
(frac{3}{x^2-9}+frac{1}{3-x})cdot frac{x^2-6x+9}{x}=(frac{3}{(x-3)(x+3)}-frac{1}{x-3})cdot frac{(x-3)^2}{x}=\\=frac{3(x-3)-(x+3)}{(x-3)(x+3)}cdot frac{(x-3)^2}{x}=frac{3x-9-x-3}{x+3}cdot frac{x-3}{x}=frac{2x-12}{x+3}cdot frac{x-3}{x}=\\= frac{2(x-6)cdot (x-3)}{xcdot (x+3)}
Вас заинтересует