Ответы
Ответ дал:
0
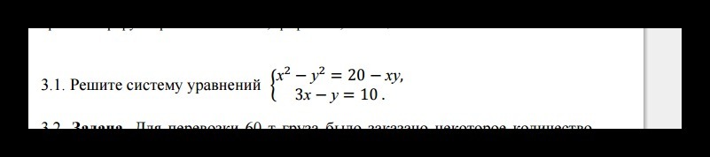
Прикрепляю решение, надеюсь, получишь хорошую оценку!
Приложения:

Ответ дал:
0
Эххх сложно)
Ответ дал:
0
/.////////////////////
Приложения:

Вас заинтересует
3 года назад
3 года назад
9 лет назад
9 лет назад
9 лет назад
9 лет назад