Ответы
Ответ дал:
0
Очень надеюсь, что решила верно и помогу
Приложения:

Ответ дал:
0
спасибл за помощь, ты очень помогла!
Ответ дал:
0
;)
Ответ дал:
0
Решение:
Первый способ решения уравнения:
(х+(х+4,6)):2=8,2
(х + х + 4,6) : 2 = 8,2
(2х + 4,6) : 2 = 8,2
2х :2 + 4,6 : 2 = 8,2
х + 2,3 = 8,2
х = 8,2 - 2,3
х = 5,9
Ответ: 5,9.
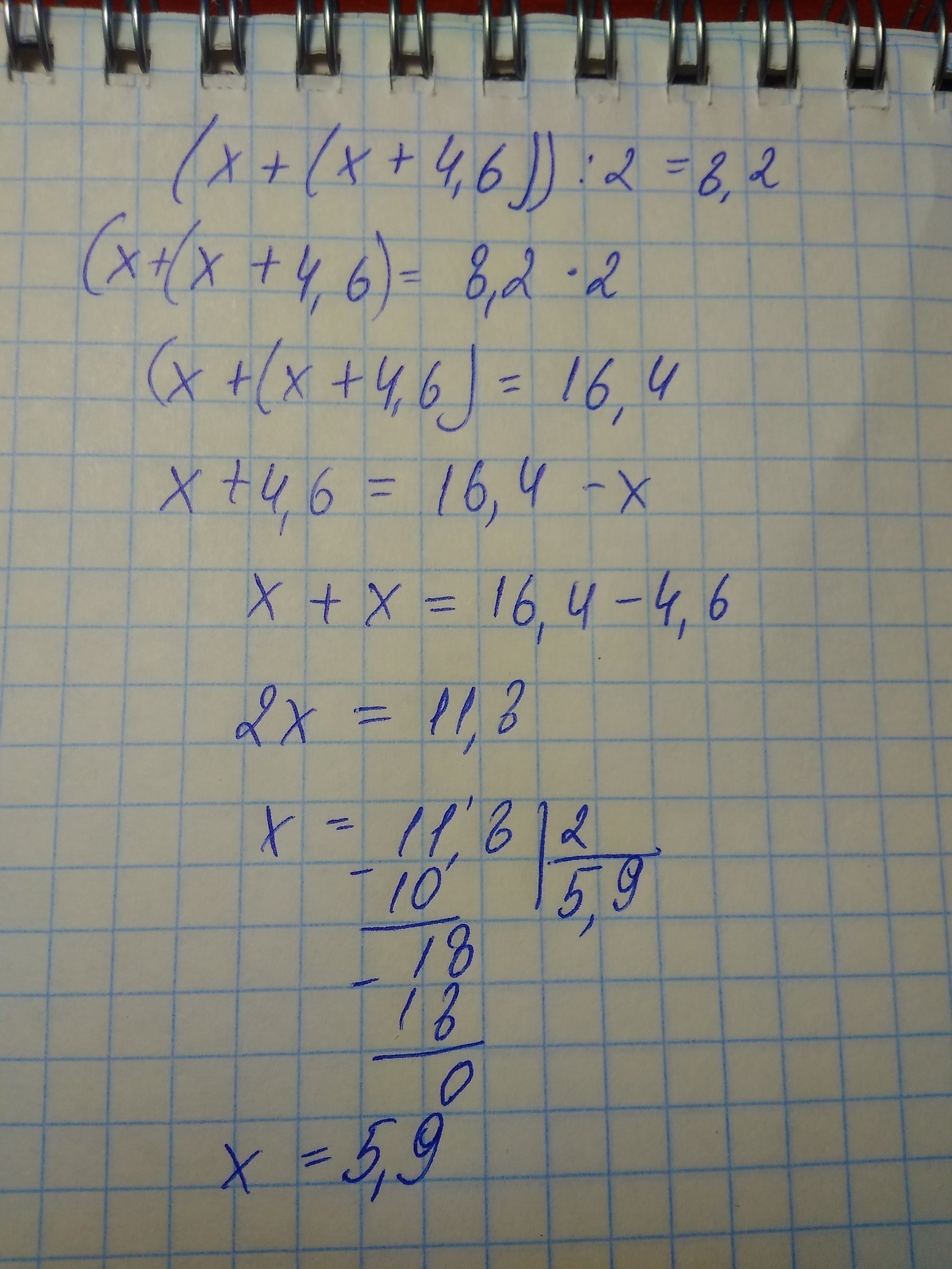
Второй способ решения уравнения:
(х+(х+4,6)):2=8,2
(х + х + 4,6) : 2 = 8,2
(2х + 4,6) : 2 = 8,2
2х + 4,6 = 8,2 ·2
2х + 4,6 = 16,4
2х = 16,4 - 4,6
2х = 11,8
х = 11,8 : 2
х = 5,9.
Ответ: 5,9.
Проверка:
(5,9+(5,9+4,6)):2=8,2
(5,9 + 10,5) : 2 = 8,2
16,4 : 2 = 8,2
8,2 = 8,2 - верно
Первый способ решения уравнения:
(х+(х+4,6)):2=8,2
(х + х + 4,6) : 2 = 8,2
(2х + 4,6) : 2 = 8,2
2х :2 + 4,6 : 2 = 8,2
х + 2,3 = 8,2
х = 8,2 - 2,3
х = 5,9
Ответ: 5,9.
Второй способ решения уравнения:
(х+(х+4,6)):2=8,2
(х + х + 4,6) : 2 = 8,2
(2х + 4,6) : 2 = 8,2
2х + 4,6 = 8,2 ·2
2х + 4,6 = 16,4
2х = 16,4 - 4,6
2х = 11,8
х = 11,8 : 2
х = 5,9.
Ответ: 5,9.
Проверка:
(5,9+(5,9+4,6)):2=8,2
(5,9 + 10,5) : 2 = 8,2
16,4 : 2 = 8,2
8,2 = 8,2 - верно
Приложения:

Вас заинтересует
2 года назад
3 года назад
3 года назад
9 лет назад
9 лет назад
9 лет назад
9 лет назад