Ответы
Ответ дал:
0
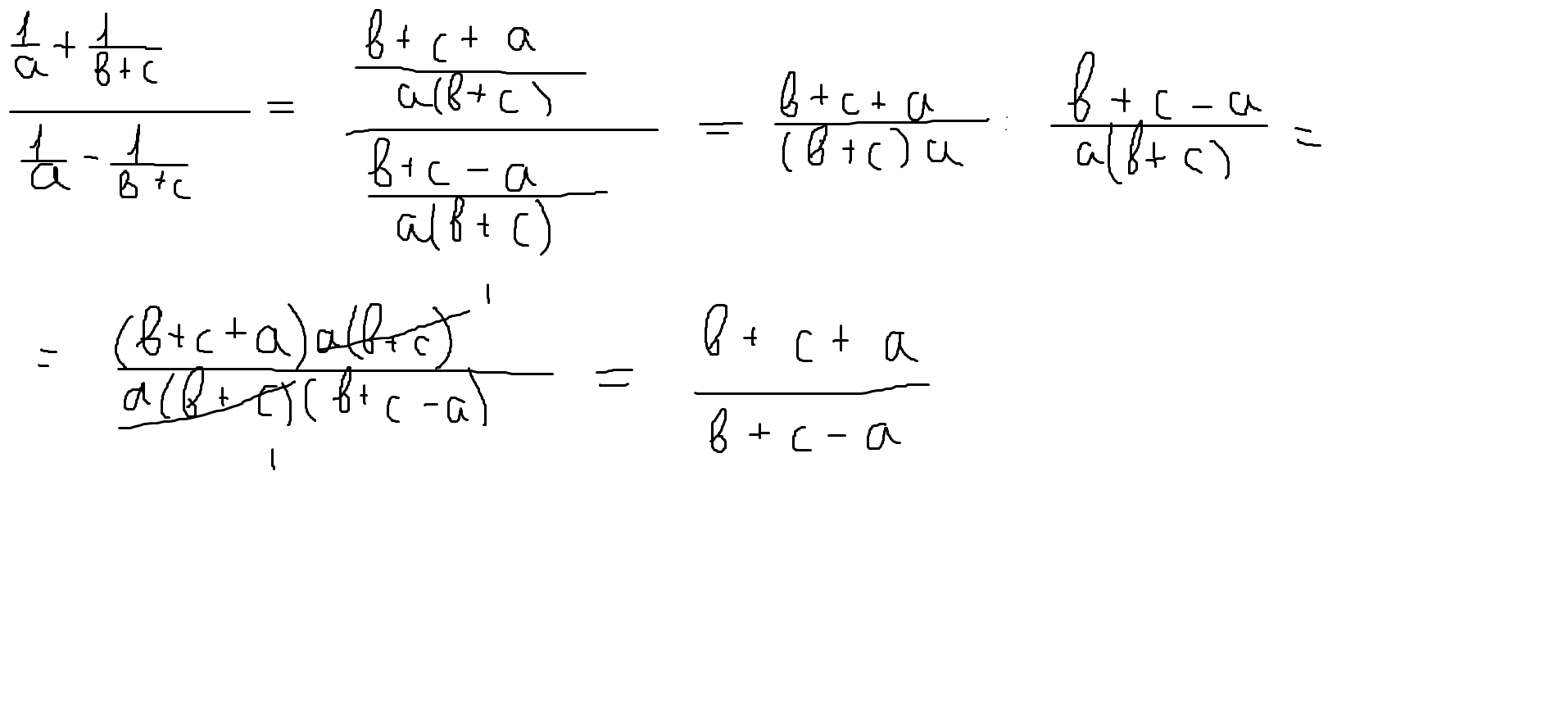
В первом действии приводим к общему знаменателю.
Приложения:

Ответ дал:
0
помоги! Выражение: 1+(b^2+c^2-a^2)/(2*b*c)
Ответ дал:
0
Выражение: 1+(b^2+c^2-a^2)/(2*b*c)
Вас заинтересует
2 года назад
2 года назад
8 лет назад
8 лет назад
10 лет назад
10 лет назад
10 лет назад