• Предмет: Алгебра
  • Автор: Kapa211
  • Вопрос задан 8 лет назад

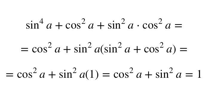
sin^4a+cos^2 a+sin^2 cos^2 a/cosa

Ответы

Ответ дал: yadiana2323
0
Вот тебе ответ на держи 20 знаков
Приложения:
Вас заинтересует