Расчеты выполнять столбиком!
1. Вычислите: а) (6,4 + 7,72) • (13,8 – 5,75).
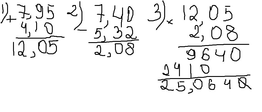
б) (4,1 + 7,95) • (7,4 – 5,32).
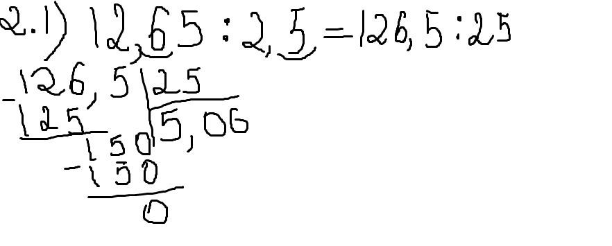
2. Решите уравнение: 2,5y = 12,65.
б) 5,5m = 38,72.
Ответы
Ответ дал:
0
2.1) 2,5у=12,65
у=12,65/2,5
у=5,06
2.2) 5.5m=38,72
m=38,72/5,5
m=7,04
у=12,65/2,5
у=5,06
2.2) 5.5m=38,72
m=38,72/5,5
m=7,04
Приложения:
Вас заинтересует
2 года назад
3 года назад
3 года назад
9 лет назад
10 лет назад