Ответы
Ответ дал:
0
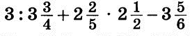
(3 ÷ 15/4) + (12/5 × 5/2) - 23/6
(3 × 4/15) + 6 - 23/6
4/5 + 6 - 23/6
24 + 180 - 115/30
89/30
Ответ : 89/30
Можно также перевести, получиться : 2,96667=3
(3 × 4/15) + 6 - 23/6
4/5 + 6 - 23/6
24 + 180 - 115/30
89/30
Ответ : 89/30
Можно также перевести, получиться : 2,96667=3
Ответ дал:
0
Если есть вопросы - обращайся
Ответ дал:
0
Хорошо
Вас заинтересует
2 года назад
3 года назад
3 года назад
9 лет назад
10 лет назад
10 лет назад