• Предмет: Алгебра
  • Автор: СРОЧНОПОМОГИТЕПЖ1
  • Вопрос задан 8 лет назад

решите систему уравнения 6(х-2)-4(х+3у)=4у-20
2(у+4)-х=2х-2 способом сложения

Ответы

Ответ дал: 89623294874
0
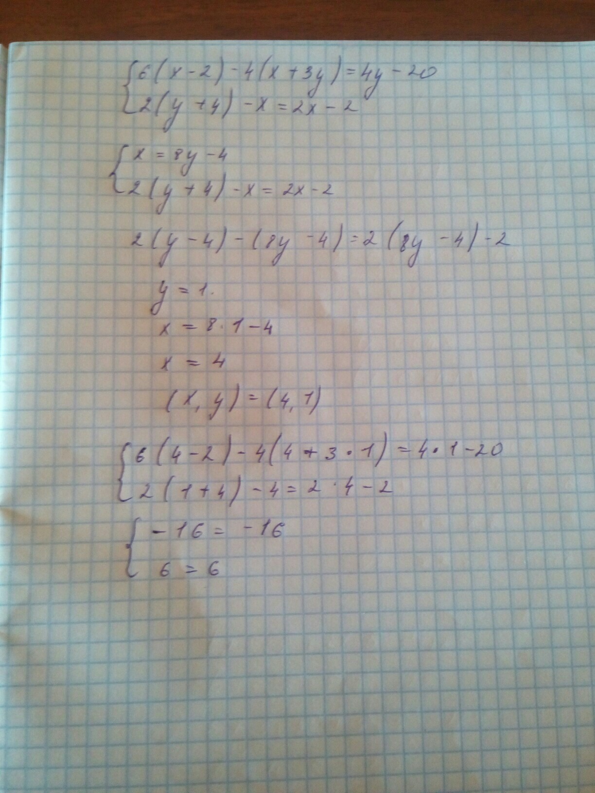
ответ на фотографии.
Приложения:
Ответ дал: СРОЧНОПОМОГИТЕПЖ1
0
а способом сложения
Ответ дал: СРОЧНОПОМОГИТЕПЖ1
0
????
Ответ дал: 89623294874
0
прости но у меня плохо получается способ сложения
Ответ дал: 89623294874
0
прости
Ответ дал: Аноним
0
6х-12-4х-12у=4у-20
2у+8-х=2х-2

2х-16у=-8 |*3
2у-3х=-10 |*2

6х-48у=-24
-6х+4у =-20 все складываем

-44у=-44 | делим -44
У=1 подставляем
6х=24 делим на 6
Х= 4

Ответ :4, 1




Приложения:
Вас заинтересует