• Предмет: Математика
  • Автор: Аноним
  • Вопрос задан 8 лет назад

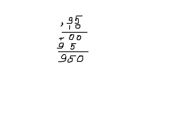
как 95 умножить на 10 столбиком?

Ответы

Ответ дал: jeandri
0
_______________________
Приложения:
Ответ дал: veraminderova
0
 95
*
  10
-------
 950
Старалась написать понятно)
Приложения:
Вас заинтересует