Ответы
Ответ дал:
0
получите, распишитесь
Приложения:

Ответ дал:
0
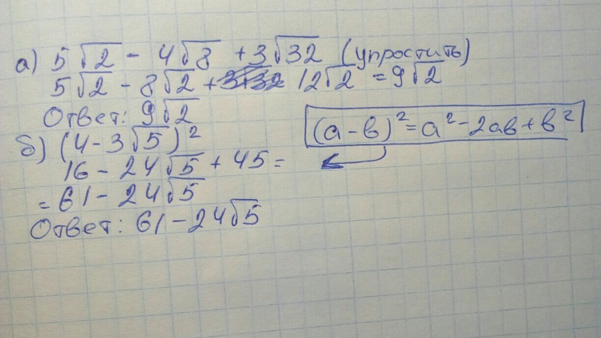
Нужно просто воспользоваться следующими свойствами:
1) √(х)² = х и (√х)² = х.
2) √(a·b)=√a · √b
3) (a+b)² = a² +2ab+b²
4) (a·b)² = a² · b²
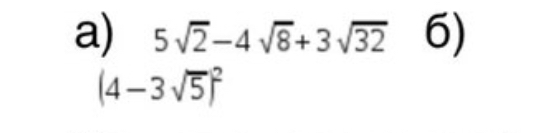
а) 5√2 - 4√8 + 3√32 = 5√2 - 4√(2³) + 3√(2·4²) = 5√2 - 4√2²·√2 + 3√2·√4²=
=5√2 - 4·2√2 + 3·4√2 = √2 ·(5 - 8 + 12)=9√2
б) (4-3√5)² = 4² - 2·4·3√5 + (3√5)² = 16 - 24√5 + 3²·(√5)² = 16 - 24√5 +9·5=
= 16 - 24√5 + 45 = 61 - 24√5
1) √(х)² = х и (√х)² = х.
2) √(a·b)=√a · √b
3) (a+b)² = a² +2ab+b²
4) (a·b)² = a² · b²
а) 5√2 - 4√8 + 3√32 = 5√2 - 4√(2³) + 3√(2·4²) = 5√2 - 4√2²·√2 + 3√2·√4²=
=5√2 - 4·2√2 + 3·4√2 = √2 ·(5 - 8 + 12)=9√2
б) (4-3√5)² = 4² - 2·4·3√5 + (3√5)² = 16 - 24√5 + 3²·(√5)² = 16 - 24√5 +9·5=
= 16 - 24√5 + 45 = 61 - 24√5
Приложения:

Вас заинтересует
2 года назад
2 года назад
3 года назад
3 года назад
9 лет назад
9 лет назад
9 лет назад