• Предмет: Геометрия
  • Автор: cюм
  • Вопрос задан 8 лет назад

помогите решить задачу по геометрии и нарисовать рисунок к ней.
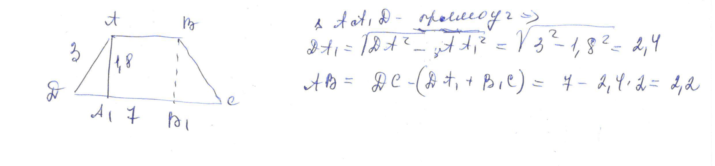
У равнобокой трапеции боковая сторона равна 3 дм,её большее основание,равное 7 дм,находится на расстоянии 1,8 дм от меньшего основания.найдите меньшее основание данной трапеции.

Ответы

Ответ дал: KjkfKthf
0
Решение в приложении
Приложения:
Вас заинтересует