Ответы
Ответ дал:
0
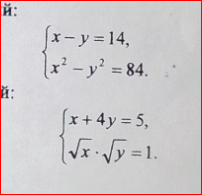
x-y=14
x2-y2=84
x2-y2=(x-y)(x+y)
x+y=6
x=14+y
y+14+y=6
y=-4
x=10
2) x+4y=5
кор(x)кор(y)=1
x?y>0
x=5-4y
кор(5-4y)кор(y)=1
(5-4y)y=1
4y2-5y+1=0
y=1 x=1
y=1/4 x=4
x2-y2=84
x2-y2=(x-y)(x+y)
x+y=6
x=14+y
y+14+y=6
y=-4
x=10
2) x+4y=5
кор(x)кор(y)=1
x?y>0
x=5-4y
кор(5-4y)кор(y)=1
(5-4y)y=1
4y2-5y+1=0
y=1 x=1
y=1/4 x=4
Вас заинтересует
3 года назад
8 лет назад
8 лет назад
11 лет назад
11 лет назад
11 лет назад