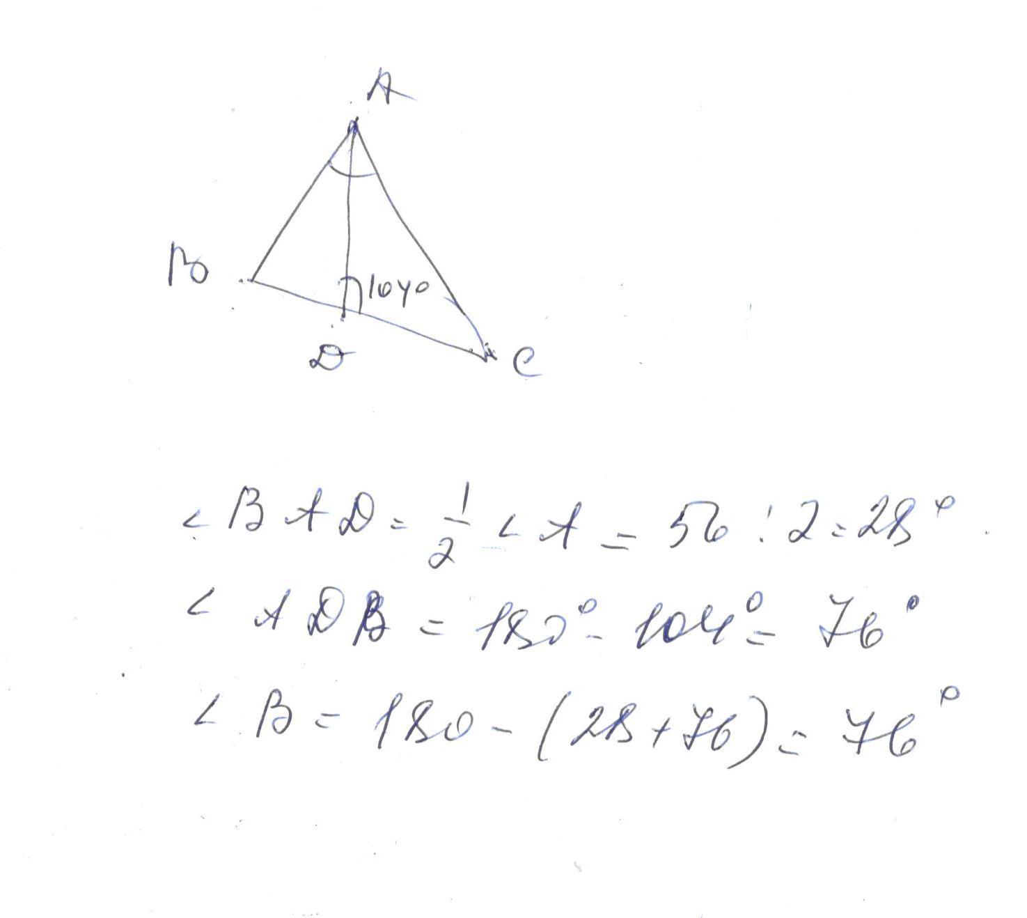
в треугольнике АВС известно что угол ВАС = 56 Биссектриса угла ВАС пересекает сторону ВС в точке D , угол АDC= 104 Найти угол АВС
Ответы
Ответ дал:
0
Решение в приложении
Приложения:

Вас заинтересует
3 года назад
9 лет назад
9 лет назад