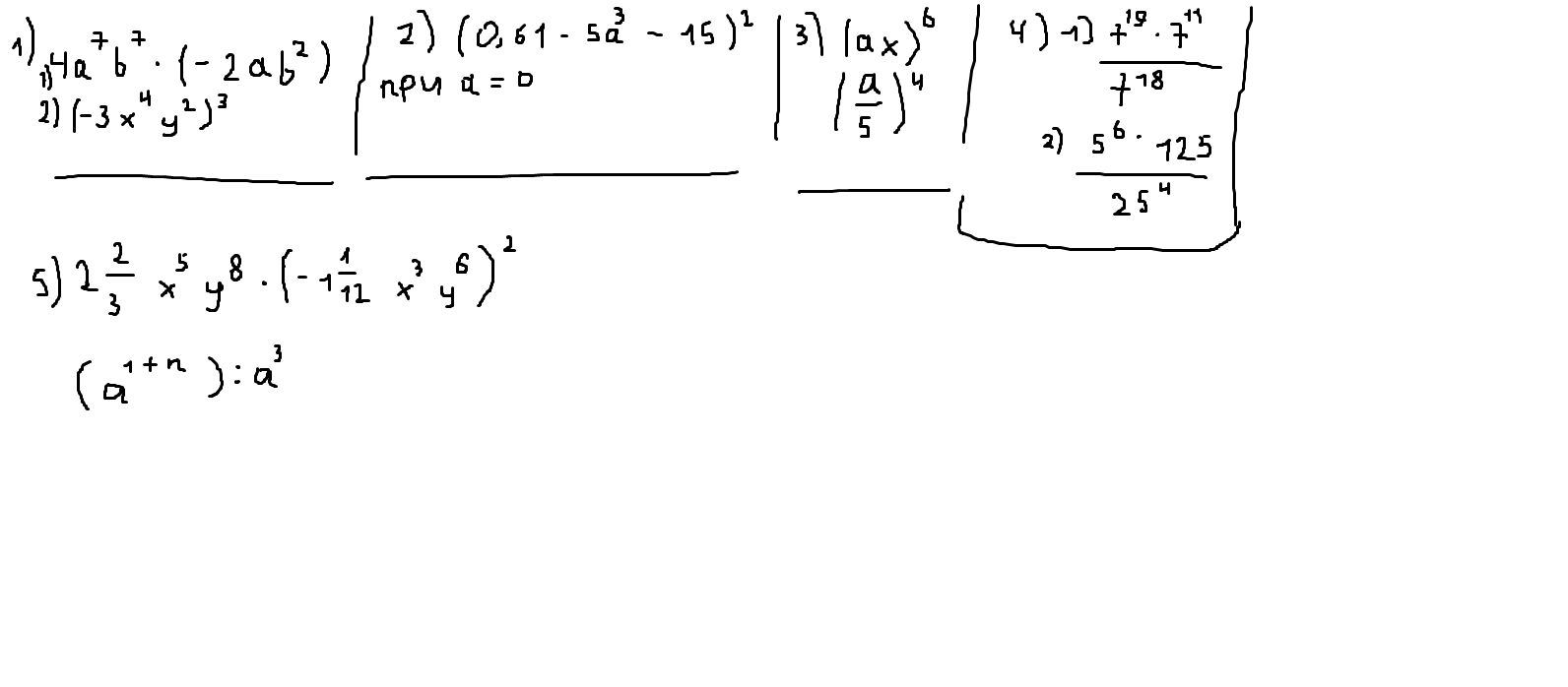
ребят помагите пожалуста решить задания только с решением в 1 задании нужно упрастить выражение во втором нужно найти значение выражения в 3 нужно возвести в степень в 4 нужно вычислить в 5 нужно упростить помагите пожалуста дам лучшее решение кто решит
Приложения:

Ответы
Ответ дал:
0
Вас заинтересует
2 года назад
2 года назад
8 лет назад
8 лет назад
10 лет назад
10 лет назад
10 лет назад