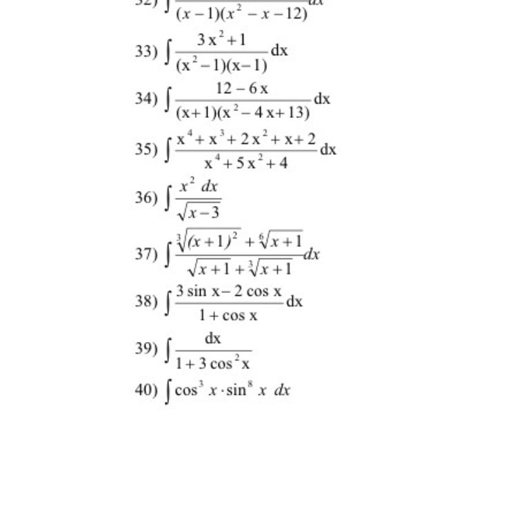
Ответы
Ответ дал:
0
Посмотрите предложенный вариант, оформление не соблюдалось; проверка не проводилась.
Приложения:


Вас заинтересует
2 года назад
3 года назад
3 года назад
9 лет назад
9 лет назад