• Предмет: Алгебра
  • Автор: nikulina2018
  • Вопрос задан 8 лет назад

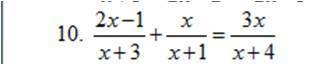
Решить дробно-рациональное уравнение

Приложения:

Ответы

Ответ дал: Subzero1678900643
0
вроде так ответ решений нет
Приложения:
Ответ дал: nikulina2018
0
Спасибо большое!сейчас просмотрю.Я три раза решала и три раза по разному получилось)))
Ответ дал: Subzero1678900643
0
незачто
Ответ дал: skvrttt
0
ой-ой-ой, зачем же такие большие множители
Ответ дал: skvrttt
0
displaystylemathtt{frac{2x-1}{x+3}+frac{x}{x+1}=frac{3x}{x+4};~1+frac{x-4}{x+3}+1-frac{1}{x+1}=2+frac{x-8}{x+4};~}\\\mathtt{frac{x-4}{x+3}-frac{1}{x+1}-frac{x-8}{x+4}=0;~}\\\mathtt{frac{(x-4)(x+4)(x+1)-(x+4)(x+3)-(x-8)(x+3)(x+1)}{(x+4)(x+3)(x+1)}=0}

итак, наше уравнение эквивалентно данной системе: 

displaystylemathtt{left{{{(x-4)(x+4)(x+1)-(x+4)(x+3)-(x-8)(x+3)(x+1)=0}}atop{xneq-4;~-3;~-1}}right}

решим первое уравнение системы, а затем исключим из ответа ложные корни, если таковые будут

mathtt{(x-4)(x+4)(x+1)-(x+4)(x+3)-(x-8)(x+3)(x+1)=0;~}\mathtt{x^3+x^2-16x-16-x^2-7x-12-x^3+4x^2+29x+24=0;~}\mathtt{4x^2+6x-4=(x+2)(4x-2)=0}

следовательно, mathtt{left[begin{array}{ccc}mathtt{x_1=-2}\mathtt{x_2=frac{1}{2}}end{array}right} — оба корня не противоречат области допустимых значений уравнения, поэтому являются окончательным ответом

ОТВЕТ: mathtt{x=-2;~frac{1}{2}}
Приложения:
Ответ дал: nikulina2018
0
Класс!спасибо!ни за что бы не догадалась..
Ответ дал: skvrttt
0
пробуйте выделять целую часть в дроби, это полезно) например, имея дробь (2x – 1)/(x + 1), можно выделить целую часть: (x + 1 + x – 2)/(x + 1) = 1 + (x – 2)/(x + 1)
Вас заинтересует