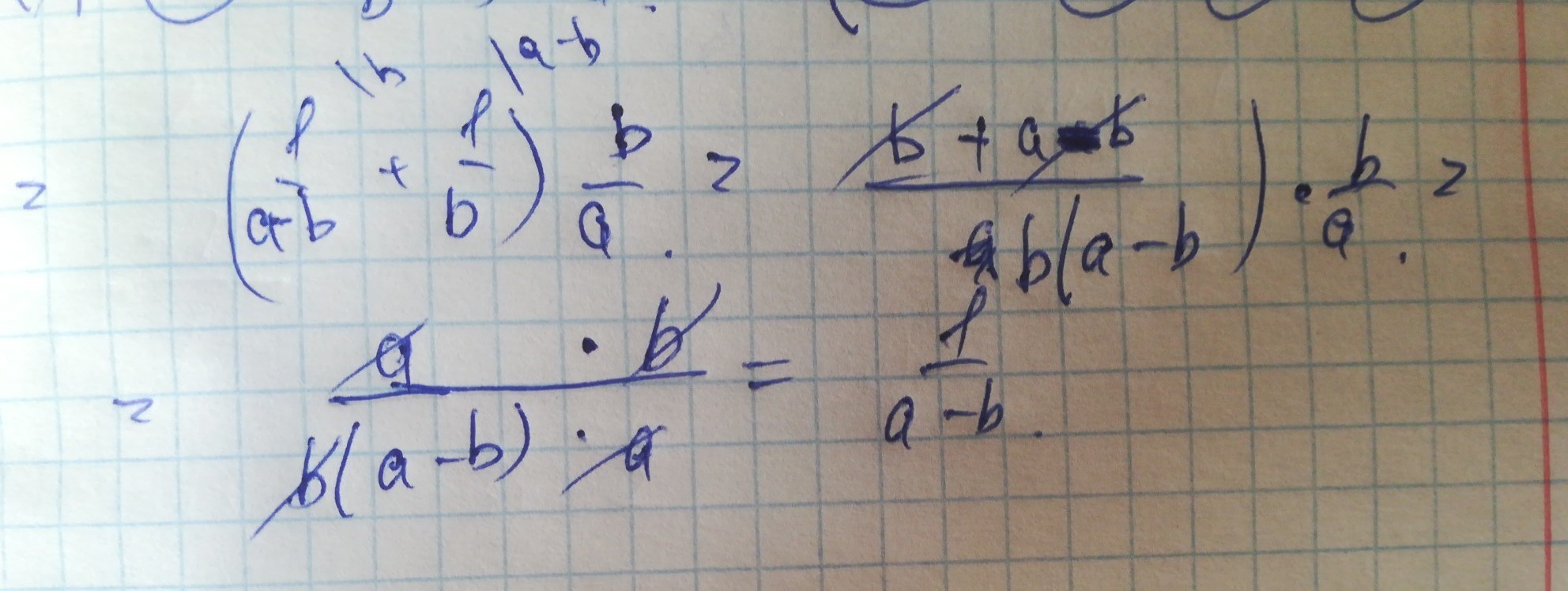
( 1/ a- b + 1/b) * b/a
Помогите пожалуйста срочно
Нужно упростить выражение
Кто сможет решить весь первый вариант спасибо
/ - дробь
* - умножение
Ответы
Ответ дал:
0
Фотофотофотофотофото
Приложения:

Вас заинтересует
2 года назад
2 года назад
3 года назад
3 года назад
9 лет назад
9 лет назад
9 лет назад