• Предмет: Геометрия
  • Автор: Sharaga2585
  • Вопрос задан 8 лет назад

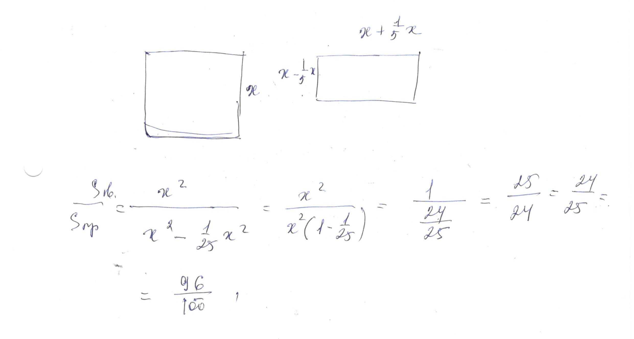
Длина прямоугольника на пятую часть больше стороны квадрата, а ширина прямоугольника – на пятую часть меньше стороны квадрата. Вычислите отношение площади прямоугольника к площади квадрата

Ответы

Ответ дал: KjkfKthf
0
Решение в приложении
Приложения:
Вас заинтересует