Ответы
Ответ дал:
0
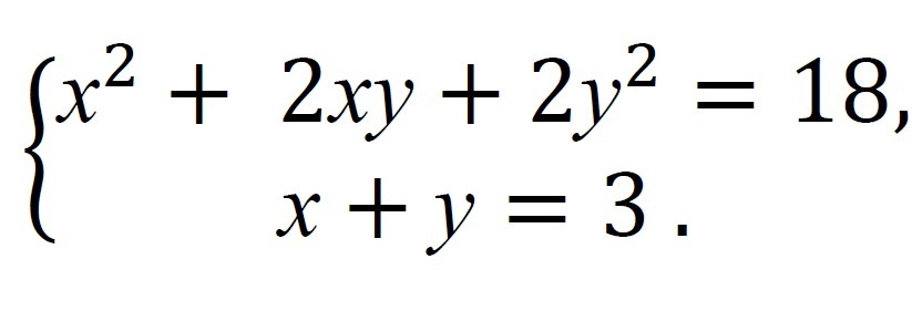
х=3-у
(3-у)^2+2у (3-у)+2у^2=18
9-6у+у^2+6у-2у^2+2у^2=18
у^2+9=18
у^2=9
у1=-3
у2=3
х1=3-(-3)=6
х2=3-3=0
(6;-3)(0;3)
(3-у)^2+2у (3-у)+2у^2=18
9-6у+у^2+6у-2у^2+2у^2=18
у^2+9=18
у^2=9
у1=-3
у2=3
х1=3-(-3)=6
х2=3-3=0
(6;-3)(0;3)
Вас заинтересует
2 года назад
3 года назад
9 лет назад
10 лет назад
10 лет назад