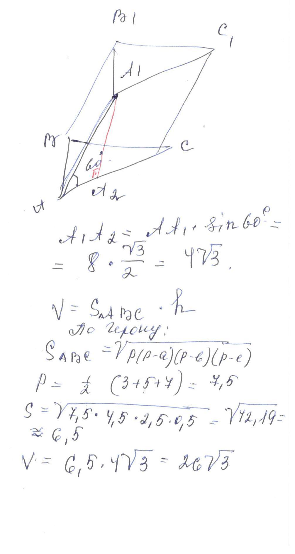
Основанием призмы является треугольник, у которого стороны равняеются 3 см;5 см; 7 см; Боковое ребро длиной 8 см образует с плоскостью основания угол 60° . Вычислите объём призмы
Ответы
Ответ дал:
0
Раз тебе никто не решает, посмотри мое сомнительное, потому что числа неудобные
Приложения:

Вас заинтересует
3 года назад
3 года назад
9 лет назад
9 лет назад