• Предмет: Математика
  • Автор: Лягушка2008
  • Вопрос задан 8 лет назад

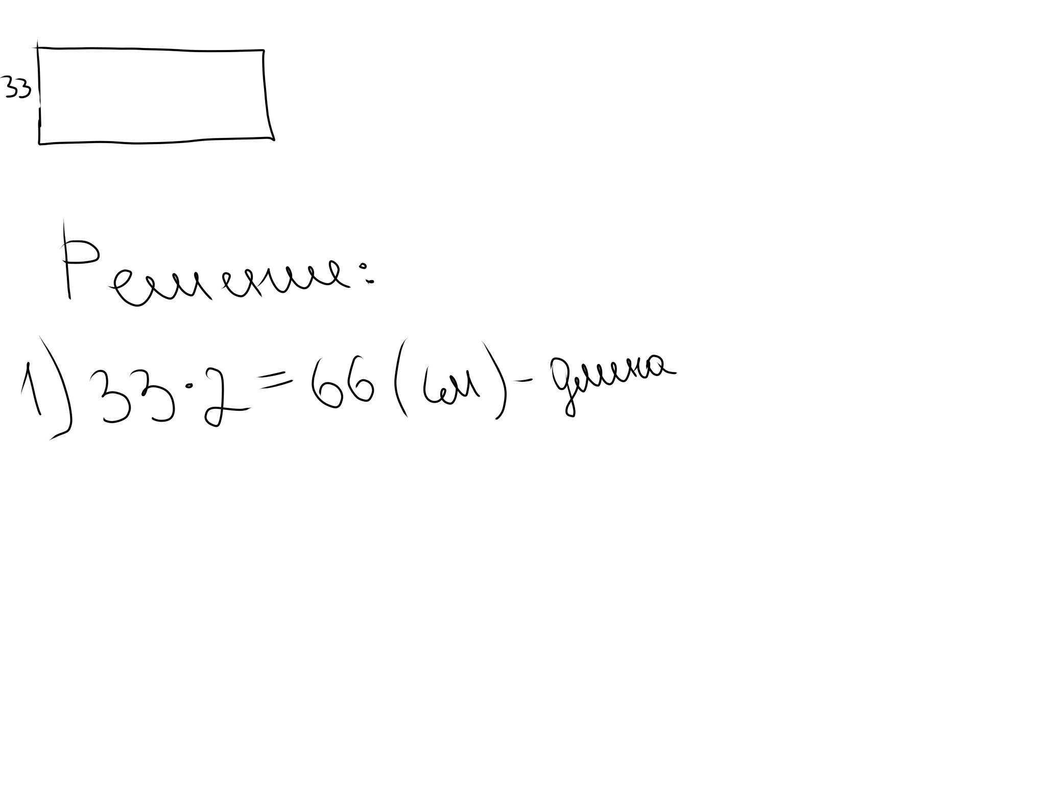
Срочно помогите не справлюсь заранее спасибо

Приложения:

Ответы

Ответ дал: alyaostr8899p8vk0y
0
2. 3 мес>3 сут.
5ч6мин > 56 мин
4км 305м = 4305м
52мм>2см5мм
7т600кг>78ц
2400кг = 24ц.
Приложения:
Вас заинтересует